Maturity | |
|---|---|
Basic | |
Scope | |
Flow | |
Cycle | |
Center |
Periphery |

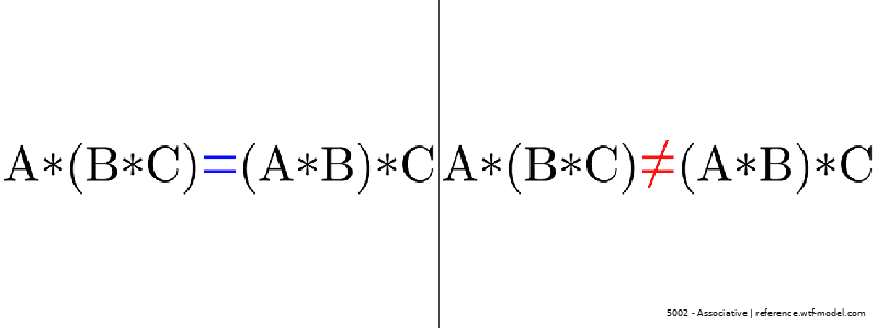
In math, "associative" refers to an operation that can be performed in any order without changing the result. This is in contrast to "non-associative" operations, which do change the result depending on the order they are performed in.
WARNING: This entry is marked as experimental/in development.






Basic
Scope
Flow
Cycle